Zum Inhalt springen
Fachschaft Physik der Realschule Höchstadt
  • Willkommen.
  • Physik
  • Mathematik
  • IT
  • Hilfsmittel
    • Formelsammlung
    • Taschenrechner
  • Memory
  • Impressum
  • Datenschutz
  • >>>unsere Schule
  • Magnetismus-7
  • LZ-Magnetismus
  • Elektrizität-7
  • LZ-Ladungen
  • Elektromagnetismus
  • Was-tun-bei-Langeweile?
  • Website-Suche umschalten
Menü Schließen
  • Willkommen.
  • Physik
  • Mathematik
  • IT
  • Hilfsmittel
    • Formelsammlung
    • Taschenrechner
  • Memory
  • Impressum
  • Datenschutz
  • >>>unsere Schule
  • Magnetismus-7
  • LZ-Magnetismus
  • Elektrizität-7
  • LZ-Ladungen
  • Elektromagnetismus
  • Was-tun-bei-Langeweile?
  • Website-Suche umschalten

Blog

  1. Startseite>
  2. online-learning>
  3. Physik-9b-I>
  4. Gasgesetze>
  5. Themenbereich Gasgesetze

Themenbereich Gasgesetze

  • Beitrags-Autor:the-admin
  • Beitrag veröffentlicht:17. März 2020
  • Beitrags-Kategorie:Gasgesetze

Hier findest Du die Lösungen zu den hausaufgaben.

 

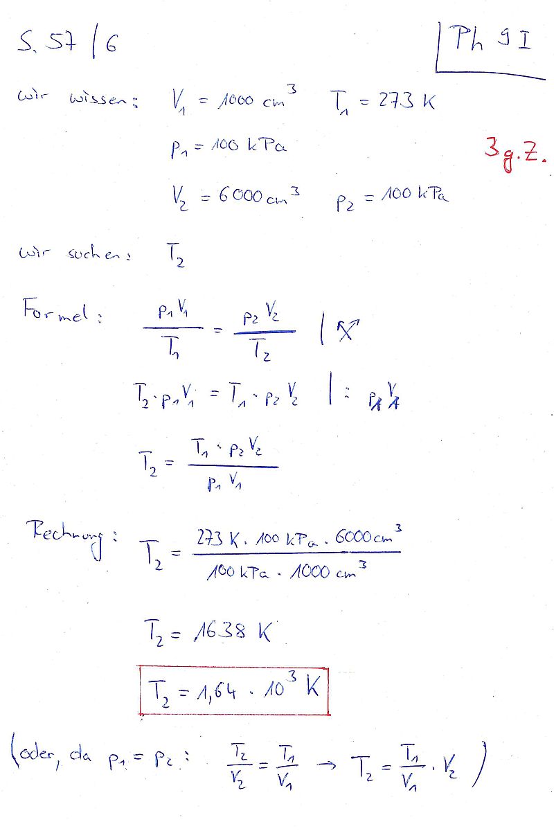
B.S. 57 / 6

 

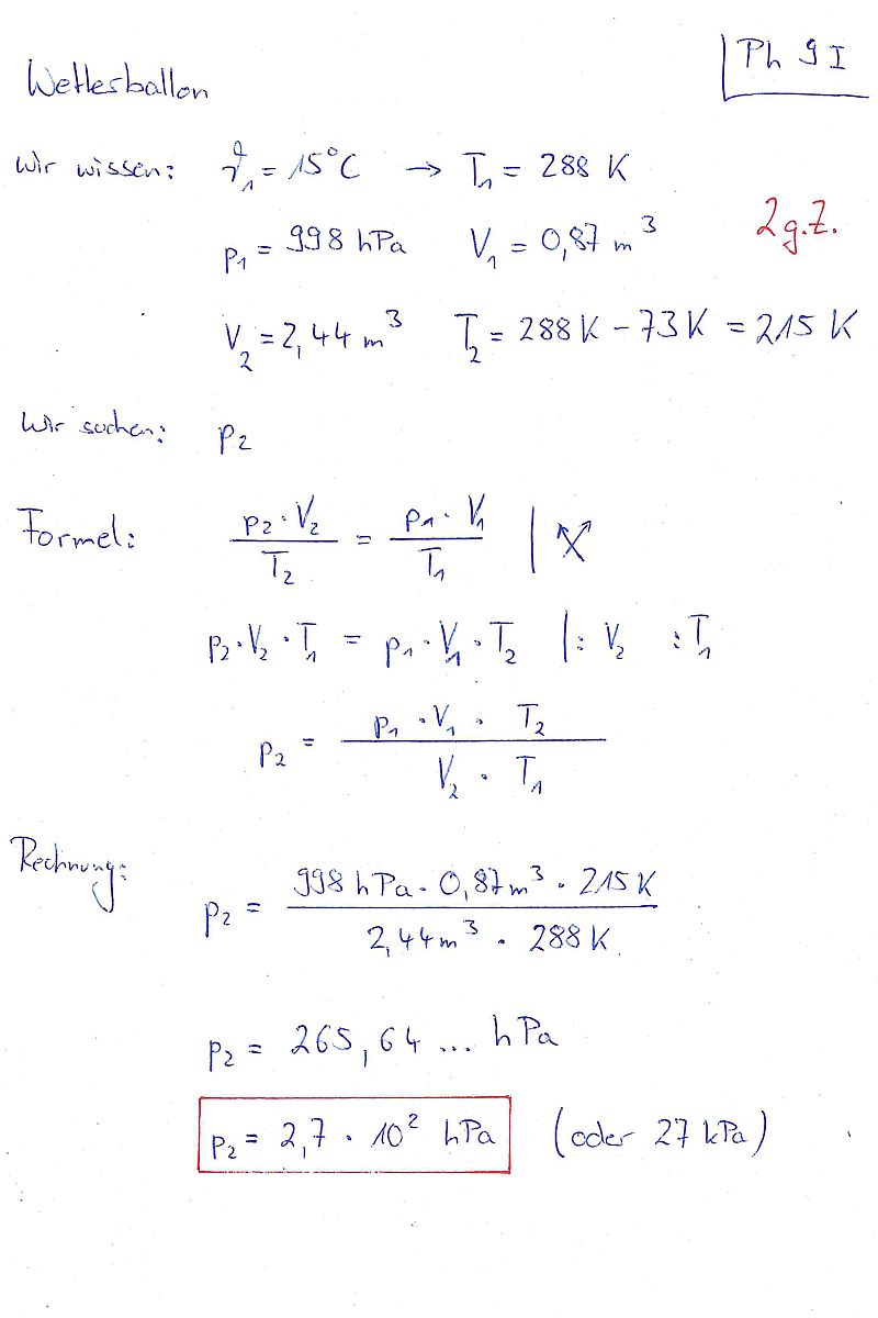
Wetterballon (kleines gelbes Blatt)

Schlagwörter: Physik-9I

Weitere Artikel ansehen

Vorheriger BeitragSelbstlernmaterial
Nächster BeitragLernzirkel Magnetismus: Thema 6
Copyright - WordPress Theme by OceanWP